當前位置:
首頁
>
政務公開
>
財政預決算公開
>
財政惠民惠農資金
>
其他資金信息
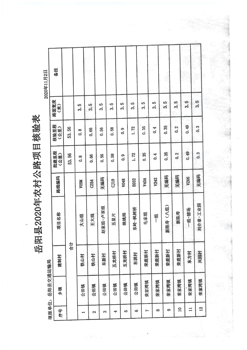
嶽陽縣下達計劃處自然村通水泥路獎補資金公開公示
來源:縣財政局
2021-01-18
瀏覽量:
1
|
|
|
|