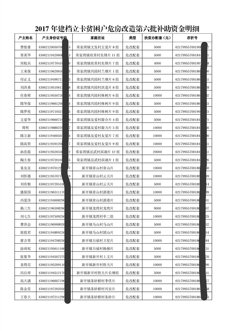
嶽縣扶發【2018】11號—關於撥付2017年度建檔立卡貧困戶第六批危房改造配套補助資金
來源:縣財政局   2018-06-15
瀏覽量:1 | | | |