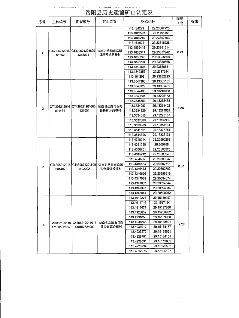
關於嶽陽縣曆史遺留礦山認定的公告(補充認定)
來源:嶽陽縣自然資源局   2022-09-06
瀏覽量:1 | | | |