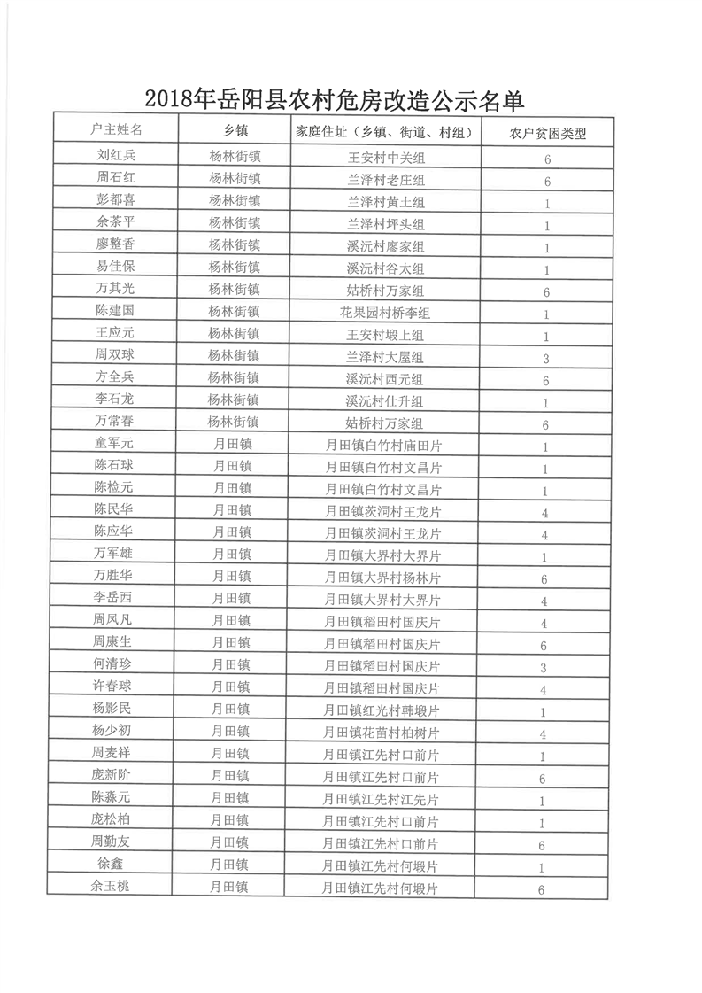
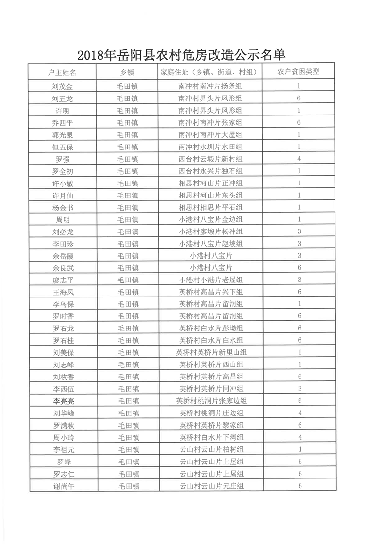
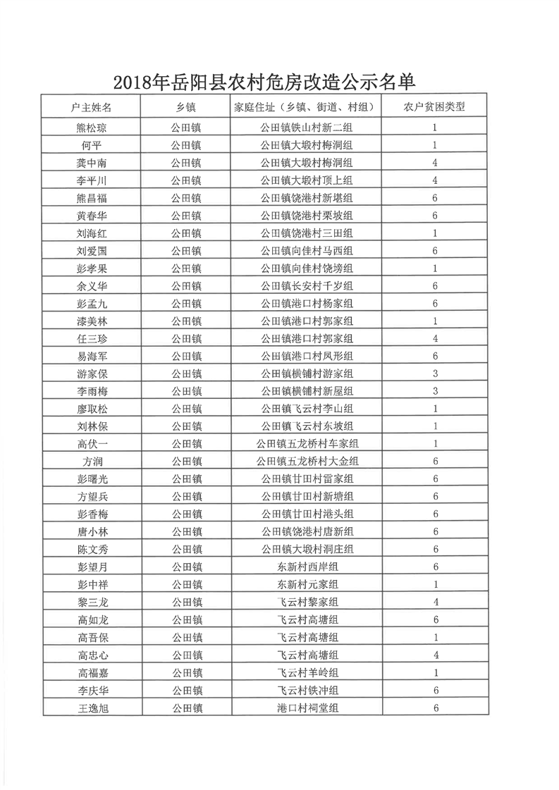
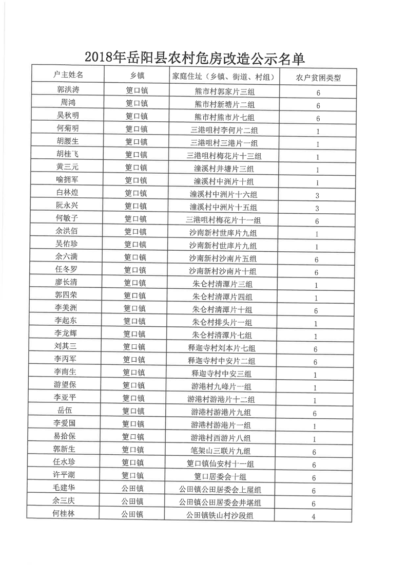
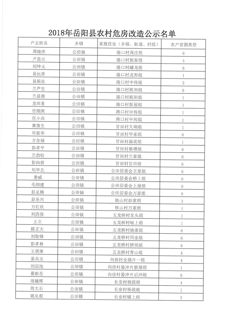
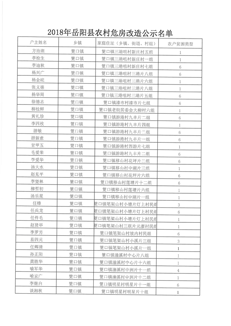
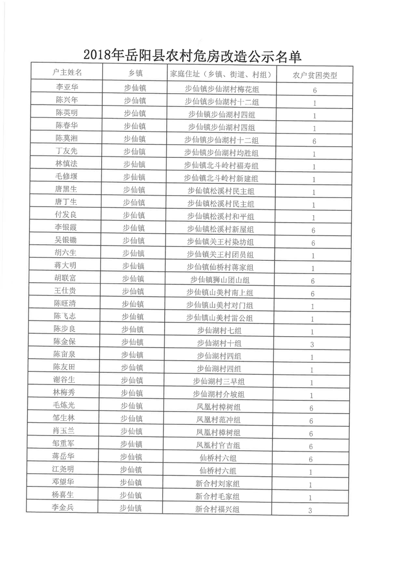
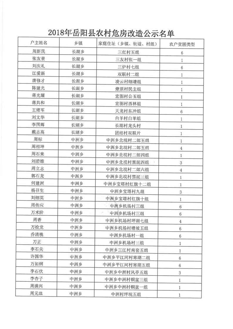
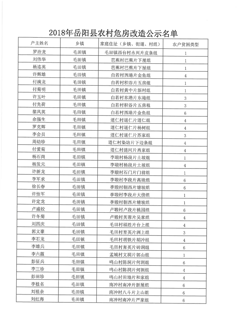
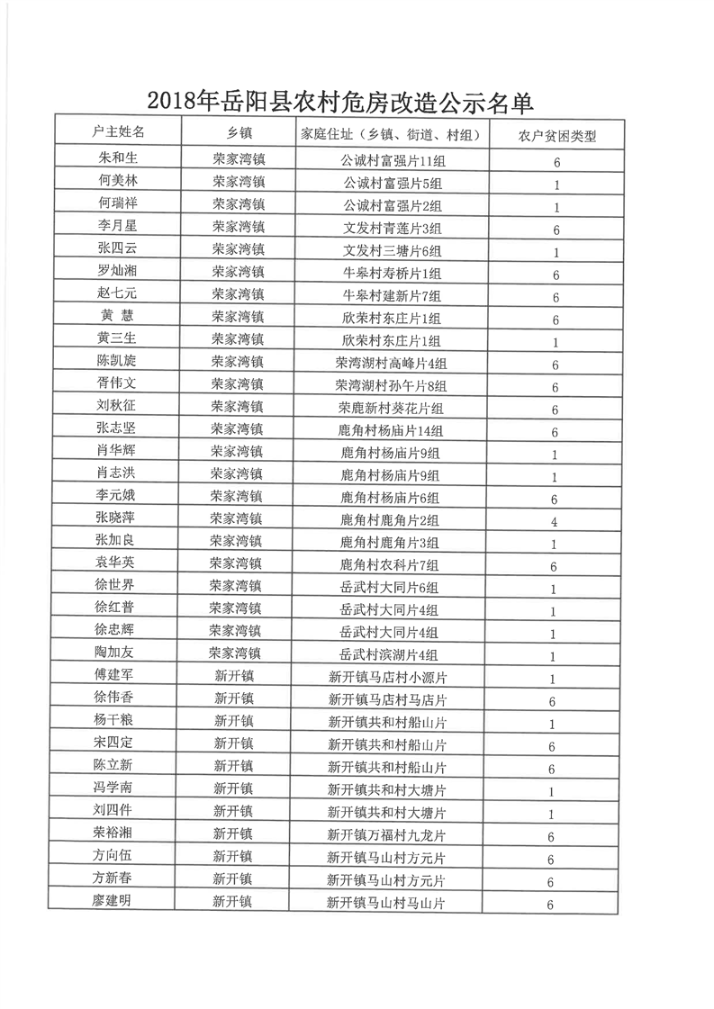
關於對嶽陽縣住房和城鄉建設局承辦2018年重點民生實事農村危房改造完成情況的公示
來源:嶽陽縣住建局   2018-11-23
瀏覽量:1 | | | |